ru
kz
en
Name
+7 777 712 52 52
Табло Online
Табло рейсов
Контакты представителей авиакомпаний
Услуги
Турагентство
Дьюти фри
Магазины
Еда и напитки
Выдача разрешений на строительство обьектов не представляющих угрозы полетов
CIP зал
Дополнительные услуги
Пассажирам
Информация
Транспорт
Паркинг
Регистрация
Электронный билет
Информация о багаже
Запрещенные к перевозу предметы
Комната матери и ребенка
Пассажиры с ограниченными возможностями
Гостиница и питание
Комната для курения
Экстренная помощь
Полиция
Поврежденный багаж
Опоздание на регистрацию
Проблемы с документами
Правила аэропорта
Справочное бюро
Грузоперевозки
Партнерам
Авиакомпаниям
Рекламодателям
Арендаторам
Оформление пропусков
Мы продаем
Закуп
Раскрытие информации
О компании
Политика предприятия
История
Вакансии
Пресс-центр
Новости
Отчётность
Финансовая отчётность
Контакты
Контакты аэропорта
FAQ
Хранение ГСМ
Шаблон договора на хранение ГСМ
Стоимость услуг хранения авиатоплива; Сопутствующие расходы.
Документы к заявке для заключения договора на хранение ГСМ
Адрес для подачи заявки
Свободные мощности хранения авиатоплива
Ресурсы водохранилища
Караганда
13:40:04
15 май, Пт
t 19 °C
Name
Пассажирам
Табло On-Line
Грузоперевозки
Контакты
Караганда
13:40:04
15 май, Пт
t 19 °C
+ 7 777 712 52 52
ru
kz
en
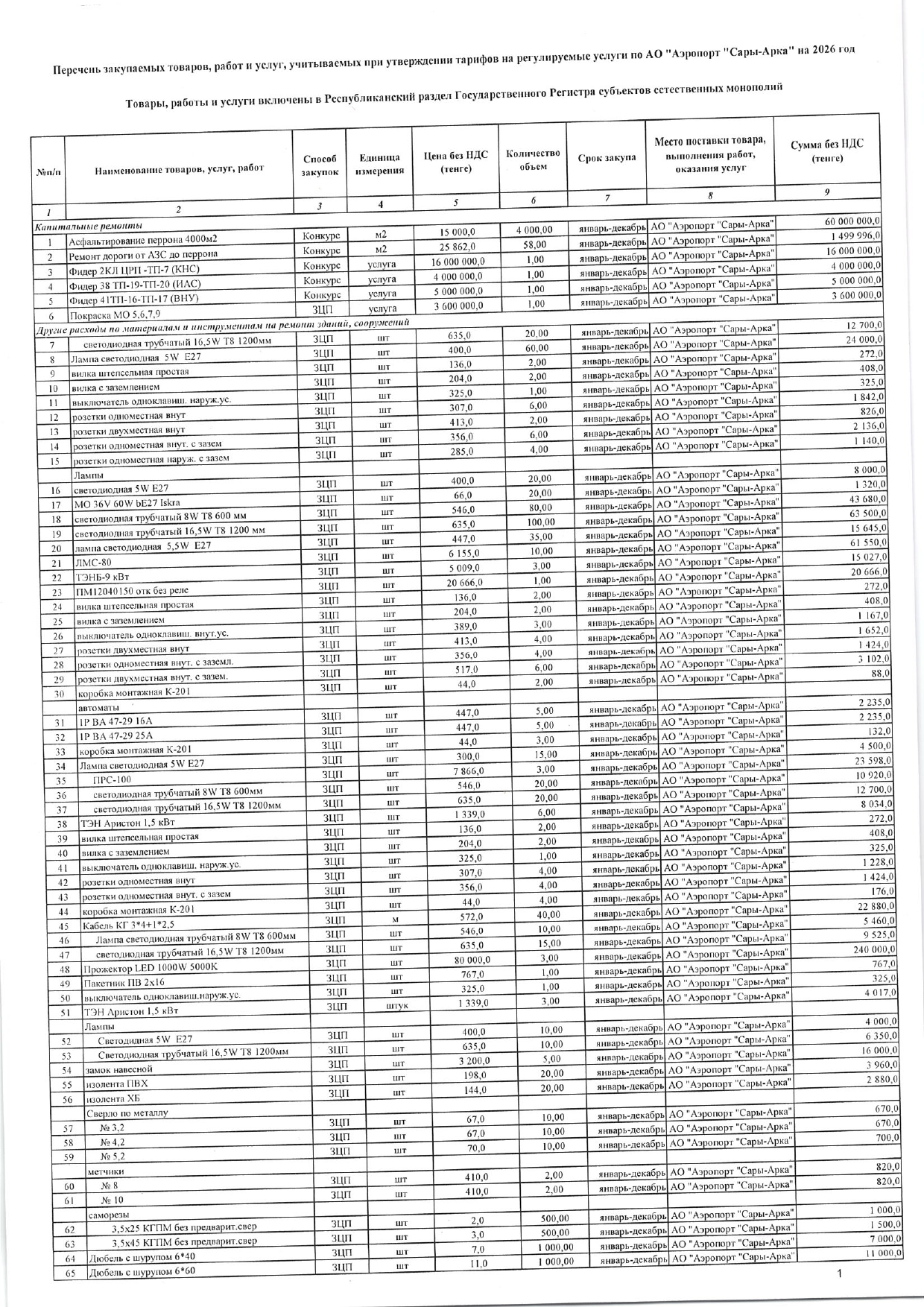
29.12.2025
Перечень закупаемых товаров, работ и услуг, учитываемых при утверждении тарифов на регулируемые услуги по АО "Аэропорт "Сары-Арка" на 2026 год